For all future radio calculations we recommend that people base their calculations on the formulas given below when they need to quote ice-temperatures, ice-densities, and ice-indices of refraction. We are also working on formulas for ice-attenuation as a function of frequency and temperature ( ice-depth ). While not perfect, we believe they are reasonably accurate and represent the best approximations that are available at this time.
All depths are in meters with positive going depth. All temperatures are in degrees C.
In Temperature measurements and heat transfer in near surface snow at the South Pole Brandt and Warren present a years worth of near surface temperature measurements of the snow at the South Pole.

They provided the raw data for their results, available here. They only ask to be cited in any results involving their data. For a description of the sensor locations see the paper linked to above.
Note that the raw data supplied goes to a maximum of 1.2 meters in depth. For information about temperatures at deeper depths refer to Dalrymple et al in South Pole Micrometeorology Program: Data Analysis. We did not find the raw data from their paper but a plot of their results from a scanned copy of their paper follows:

Ice-Temperature vs Ice-Depth characteristics are shown in Fig 1. This data was compiled by the Berkeley group, in particular by Kurt Woschnagg. The relationship between ice-depth in meters and ice-temperature in Celsius is given by Eqn 1.
Equation 1:
Figure 1

Figure 1a

Ice-Density vs. Ice-Depth characteristics for the first 200 meters are shown in Fig 2. This data was compiled by Koci and Kuivinen in 1982. The relationship between the ice-density ( relative to water ) and depth in meters is given by Eqn 2. A fitting equation of the form:
density = a1+a2 * (1.0-exp(b1*z))
as suggested by Gorham was chosen to guarantee a smooth approach to the asymptotic density of 0.92 Mg/m^3.
Equation 2
0.37415+0.562385*(1-math.exp(-0.01535*x))

Figure 3

Ice-Index of Refraction data from Besson et al. is displayed in Fig 4. Again a fit of the form index = a1+a2 * (1.0-exp(b1*z)) was used to pin the asymptotic index at 1.78.
Figure 4

Equation 3
n = 1.325 + 0.463 * (1.0 - math.exp(-0.0140*depth) )
Equation 4
n(z) = 1 + 0.845 * p(z)
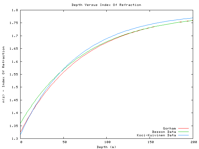
A comparison of the first three sources of data is displayed in fig 5.
Figure 5

Figure 6

There are currently two models for the ice absorption-length coefficient. Gorham supplied us with a polynomial fit to the change in the RF loss coefficient at 300 MHz versus depth for data from bogorodsky's book. Besson et Al supplied a model via the source code for SADE version 0.3. I am unclear as to the original source of this model and over which frequencies and depths it is valid. Any information would be appreciated. This model has an ice temperature parameter. The model presented earlier is used to generate this value.
A comparison of these two models is presented in Fig 7.
Figure 7

Bob asked me to fit the data below, to an equation of the form:
atten = 1.701/(A+B*f^(C+1))
Where f is in GHz. A, B, and C are functions of ice temperature and are given as follows:
a = 5.03097*math.exp(0.134806*temp)
b = 0.172082*temp+10.629
c = -0.00199175*temp + -0.703323
Using the Kurt W, temperature versus depth curve a plot of ice attenuation at depth looks like this:

| Temperature (deg C) | Frequency (KHz) | Attenuation (km) |
| -1 | 100 | 0.347 |
| -20 | 100 | 2.286 |
| -40 | 100 | 9.6 |
| -60 | 100 | 96.0 |
| -1 | 1000 | 0.2895 |
| -20 | 1000 | 1.448 |
| -40 | 1000 | 5.79 |
| -60 | 1000 | 43.4 |
| -1 | 10000 | 0.2895 |
| -20 | 10000 | 0.7238 |
| -40 | 10000 | 2.89 |
| -60 | 10000 | 17.0 |
| -1 | 100000 | 0.1930 |
| -20 | 100000 | 0.4343 |
| -40 | 100000 | 1.73 |
| -60 | 100000 | 7.89 |
| -1 | 1000000 | 0.1086 |
| -20 | 1000000 | 0.2895 |
| -40 | 1000000 | 0.4343 |
| -60 | 1000000 | 3.77 |
| -20 | 3000000 | 0.0579 |
| -40 | 3000000 | 0.0965 |
| -60 | 3000000 | 0.173 |
A recent addition to the attenuation length technology comes from Joe Macgregor. Using equations 9 and 10 in his 2007 paper in JGR combining temperature, density ( as supplied previously on this page ), along with chemistry data from a 2001 core taken at pole ( Cole-Dai et al. ). Joe supplied us with a matlab script to calculate the attenuation at pole and it is available here. A plot of the output is as follows:

Note that in a private communication Dr. Macgregor introduced the following critique of the Barlow paper mentioned above:
Also attached is Barwick et al. (2004), who estimated a value of 2.5-3.3 dB/km at 380 MHz for South Pole, compared to this model's estimates of 6.6-8.2 dB/km, which agree better with radio-echo-sounding-inferred values from elsewhere in East Antarctica (e.g., Jacobel et al., 2010, The Cryosphere). I'm not as confident in Barwick et al.'s methodology, because they assumed a 0-dB reflectivity at 380 MHz, which is likely far too high for an ice-sheet bed at that frequency (beds are rough). That key assumption would lead to an overestimate of attenuation, further distancing their measured value from other reported values.Note that any mistakes in the quote above are mine, and any genius belongs to Joe.
For more information on the data sets used and methodology click here
Fujita et Al's paper on epsilon double prime was combined with our model of ice temperature to produce a useful model for e'' at the pole. For complete information on the data asets used and methodology click here.
Disclaimer: I am not a physicist, so there may be trivial reasons why these two papers are not of interest to radio detection at the South Pole. However they where interesting enough to me to post them here.
Blowing snow can create extremely large electric fields near the saltation surface. From personal experience during the winter I could hear extra noise on the all-call system at pole when the wind speeds where high. A research paper, describing an apparatus to measure electric fields in blowing snow, is available here. Their results quote field strengths as high as +30 kV m-1. How is ARA going to deal with the increased noise level during wind-storms?
It's well documented that different mechanisms in ice can cause reflections, some of which are inversely proportional to the frequency of the radio waves. Fujita et al in Nature of radio echo layering in the Antarctic ice sheet detected by a two-frequency experiment describe this effect in detail. It would seem that repeating this experiment at pole over the volume of the ARA detector might be of interest.
While the following papers and results perhaps do not bear directly on the propogation of radio waves through ice their may be of interest for any future hot water drilling project.
In 1995 CRREL published a paper entitled Thermal Design of an Antarctic Water Well. This paper performs a numerical analysis, including some rather basic.. basic code to analyze the thermal performance of a Rodriguez well.
During the construction of the IceCube array the speed of the drill during deep drilling and reaming was originally controlled by reading numbers off a chart generated by Lee Greenler. Lee used a matlab script to generate these charts. One version of that matlab script ( possibly not the latest version ) is available here. Due to the difficulty in reading the charts and performing the interpolations online an excell spreadsheet was created by John and Gus. That spreadsheet is available here. After some additional modeling work it appeared that the curves used in the above spreadsheet where fit to an equation and the entire process was automated. A more complete description of the auto drilling system is available in the ehwd software documentation here ( the relevant documentation starts on page 51 ). A tool to quickly analyze the lifetime of a hole directly after drilling was developed by a student named Keven Millikin-Brown and slightly tweaked by me. The code for this tool is available here.
The IceCube Enhaced Hot Water Drill ( EHWD ) was run by a control server written in C++/C and python. The source code for the latest version of that control software is available here. The documentation for this software is available here. This control software talks to a number of UNICO motor controllers. These controllers run some custom code, the latest version of which is available here. The code run in each individual year is in separate directories. The .udt files are called project files ( have actual source code ), and the .txt files have the register settings for all of the drives. The two can be merged but for odd historical reasons it was never done. The development package needed to edit/update this code is called UEDIT and a copy was left with the IceCube help desk. A physical copy of the documentation for the motor controllers was left with John Kelley.
In 2007/2008 a custom logger measuring hole diameters made by Robertson Geologging was used to measure the IceCube hole diameters after the drill was removed. As the logger was a custom device the logging software needs a sonde definition file which is available here. The software needed to use the logger is available here. The data files associated with these measurements is available here.
In 2008 an experiment to measure the thermal performance of the Ice Cube Enhanced Hot Water Drill was performed. Star Oddi submersible temperature and pressure loggers where attached to the drill weight stack and the hose. Their depth and temperature data was combined with the drill temperature, flow, and depth information in the following spread sheet. The spreadsheet along with pictures of the installed star-oddi locations is in a zip file here. According to Jack Ambuel: The drill hole water temperature sensor is the lower cone of the drill head close to the weight stack. It is located in a sensor well with a probe coming out at right angles. See attached pictures. One shows the lower cone for one of the enhanced drill heads (X or Y - both the same). It has only the one sensor well. The other picture shows the lower cone for the refurbished drill head (R drill) which has 2 sensor wells - one for the hole and hose water sensors and the other for the hose water pressure (no longer used).
The methodology for modeling the closure rate of a hole drilled with hot water is described in the paper referenced here.
In 2010 with help from Perry Sandstrom and Andy Laundrie, I wrote some code to monitor the temperature and pressure on the PARO Scientific sensor at the bottom of five IceCube strings during freeze-in. The raw data and plots are available here.
In 2012 the ARA drill crew used some data acquisition software I wrote to collect information about drilling of a test ARA hole. The spreadsheet that Jeff Cherwinka sent me is available here.
In 2013 I received a request from the British Antarctic Survey for information about hole geometry in the IceCube Array. I supplied them with both drill data and an algorithm to calculate the drill's x/y position over the course of 57 of IceCube's 86 holes. The max radial extent occurred on hole 77 and it was 4.82 meters, and the max bounding box area occurred on Hole 55 and is 13.19 square meters. The final writeup, algorithm, plots, code, etc is all available here.
Disclaimer: This research was connected to ARA as producing power for remote stations is a difficult and as yet unsolved problem.
The original ARA proposal including installing windmills at pole to power the array. At the time the stations where thought to need approximately 300 watts to operate. Generating that much power continuously proved to be difficult problem. Average monthly wind speeds from 1957 through the beginning of 2010 are available here. A first generation model of turbine output for a Bergey XL1 was produced showing that the average power production would rarely exceed half the required power. The model is available here. At a meeting in Hawaii in 2011 I presented a second generation model that came with in 1.2 percent of the actual power produced by a turbine installed at the south pole over a month long period. Additionally at that meeting I presented a design by Mark Thoma that was the first, to my knowledge, viable design to hard wire the ARA array to station power. A copy of the presentation along with the associated data is available here. I used the model from that presentation in an Artifical Intelligence class to see if I could predict power produced by a turbine for some period of time in the future at pole. The final report for that class project is available here.
An alternative to wind turbines was installing solar panels. A proposal was made to install a solar array on the ICL. An extensive writeup of everything I could think of about designing a solar array at the south pole is available here. A series of photos taken by the winterovers around the ICL with associated measurements is available here.
Use the ice properties above to perform ray tracing of signals through the ice at the Pole. This utility allows the user to select a few of the attenuation models described above in any raytracing calculations. Note that the volume calculations are done by calculating a convex hull for the raytraced points and figuring out the volume of the resulting shape. This is not perfect in some cases, but it's a good approximation. The volume calculation can be useful as you figure the optimal depth to place an antenna ( see the plot here ).
A proposal by Bob Morse was to install a beacon antenna at some depth in the ice at Pole to be used for calibration pulses. The question becomes how will many tens of meters of coaxial cable distort your signal.
Using a 1957 paper by Wigington we can generate the transfer function for any piece of coax ( only considering the skin effect ). The utility is available here.
An update to the model described above attempts to take shunt conductance into account. The utility implementing this model is available here.
Note that the current practice of playing a pulse down a cable might not be optimal. Using the transfer function produced by the models described above it's possible to pre-distort a signal such that after sending it through a given length of coax the desired signal comes out the other end. This was tested using a arbitrary waveform generator and a few hundred feet of belden RG-8 in the lab on the fourth floor of 222. For the interested party the python script used to load data points into the arbitrary function generator is available here.